Questions & Answers
Get help from expert tutors with step-by-step solutions to your problems
400
Solved Questions
400
Solutions
60
Active Tutors
Mathematics
Year 12
Dec 2
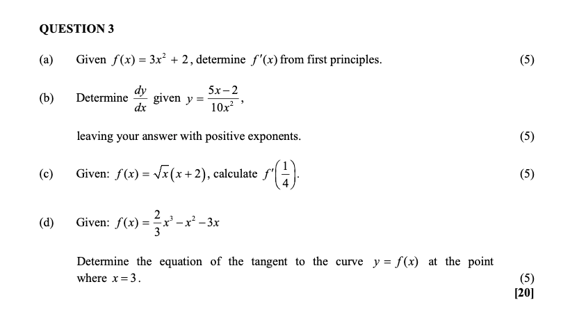
Determine the equation of the tangent to the curve y = f(x) at the point where x=3. Complete the exercise

1 Solution(s)
Click to view full details
Mathematics
Year 12
Nov 11
Determine the following, giving reasons

1 Solution(s)
Click to view full details
Mathematics
Year 12
Nov 2
Determine the dimensions of x, y and h when the area is maximised. Complete the exercise

1 Solution(s)
Click to view full details
Mathematics
Year 12
Oct 30
Determine whether the graph of h intersects the graph of g at its point of inflection. Show all working. Complete the ex...

1 Solution(s)
Click to view full details
Mathematics
Year 12
Oct 23
Solve for x and complete the exercise

1 Solution(s)
Click to view full details
Physics
Year 12
Oct 5
Calculate the distance between balls P and Q. Complete the exercise

1 Solution(s)
Click to view full details
Chemistry
Year 11
Sep 16
Draw out the structural formula of compound A. Complete the exercise

1 Solution(s)
Click to view full details
Chemistry
Year 12
Sep 11
Calculate the standard electrode potential (E°) of metal X and hence determine the identity of metal X. Complete the ex...

1 Solution(s)
Click to view full details
Chemistry
Year 12
Sep 7
Write a balanced chemical equation for the reaction of Hydrochloric acid with magnesium carbonate. Complete the exercise

1 Solution(s)
Click to view full details