Questions & Answers
Get help from expert tutors with step-by-step solutions to your problems
400
Solved Questions
400
Solutions
60
Active Tutors
Mathematics
Year 13
Feb 10
Which of the following is the correct graph. Show all working

1 Solution(s)
Click to view full details
Mathematics
Year 13
Feb 9
For precisely which values of a > 0 is the area of the region bounded by the x-axis and the curve y = f(x) bigger than t...

1 Solution(s)
Click to view full details
Mathematics
Year 13
Feb 9
Complete the exercise

1 Solution(s)
Click to view full details
Physics
Year 13
Feb 8
Prove that the speed of the object when it reached X in the one experiment is equal to the speed of the object when it r...

1 Solution(s)
Click to view full details
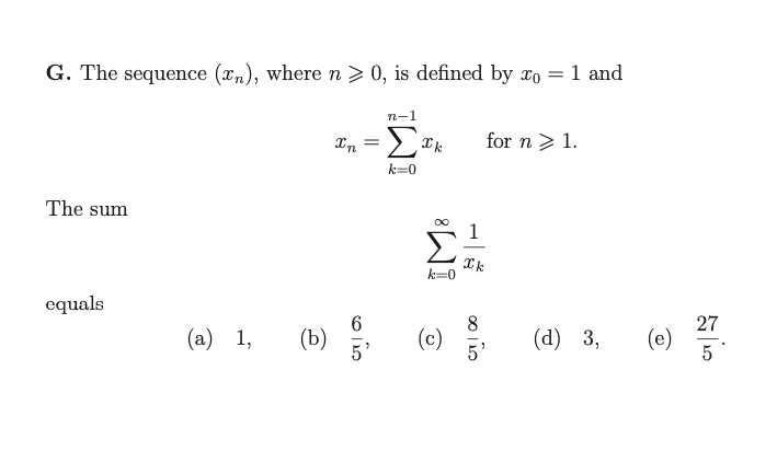
Mathematics
Year 13
Feb 8
The sum to infinity equals

1 Solution(s)
Click to view full details
Mathematics
Year 13
Feb 6
Use ( d/dx ) method to solve.

1 Solution(s)
Click to view full details
Physics
Year 13
Feb 6
Complete the exercise

1 Solution(s)
Click to view full details
Mathematics
Year 13
Feb 6
Which one of the following equations could possibly have the graph given below?

1 Solution(s)
Click to view full details
Mathematics
Year 13
Feb 5
What is the length of one of the hexagon sides?

1 Solution(s)
Click to view full details