Questions & Answers
Get help from expert tutors with step-by-step solutions to your problems
400
Solved Questions
400
Solutions
60
Active Tutors
Physics
Year 12
Jun 11
Complete Question 7

1 Solution(s)
Click to view full details
Physics
Year 12
Jun 11
Calculate the velocity of the stuntman when he reaches the trampoline. Complete the exercise

1 Solution(s)
Click to view full details
Mathematics
Year 12
Jun 8
Calculate the size of P. Complete the exercise

1 Solution(s)
Click to view full details
Economics
Year 13
Jun 6
15R

1 Solution(s)
Click to view full details
Chemistry
Year 12
Jun 2
Complete Question 10

1 Solution(s)
Click to view full details
Physics
Year 12
Jun 2
Calculate the magnitude of the tension in the string connecting the two blocks. Complete the exercise

1 Solution(s)
Click to view full details
Mathematics
Year 12
Jun 1
Complete Question 3

1 Solution(s)
Click to view full details
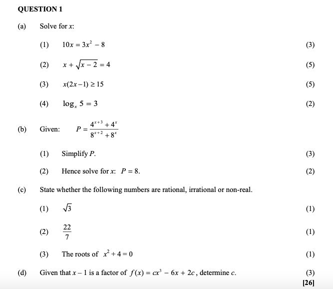
Mathematics
Year 12
May 30
Complete Question 1

1 Solution(s)
Click to view full details
Mathematics
Year 12
May 29
Complete Question 11

1 Solution(s)
Click to view full details